
http://m.gameple.co.kr/news/articleView.html?idxno=153025
20.03.27에 올라온 강정호 디렉터님의 인터뷰입니다.
이 글에서 지적하고 싶은 부분은 숙련도와 관련된 부분이며,
다음 순서를 따라 글을 진행하겠습니다.
1. 현재 경험치가 얼마나 오르는가?
2. 등급별로 요구되는 경험치량은 어떤가?
3. 보상은 적절한가?
4. 긴 글 보기 싫은 분들을 위한 세 줄 요약.
------------------------------------------------------------
1. 현재 경험치가 얼마나 오르는가?
우선, 관련 패치 내용은 시즌7. 액트1. 귀환의 시스템-모험단 항목에 기록되어 있습니다.
http://df.nexon.com/df/pr/actupdate/MDAxMTk/?cat=32
그 중 일부를 발췌해 보면
변경 : 만렙 달성 이후, 플레이한 던전의 난이도와 위상에 따라 차등 비율로 숙련레벨 경험치에 적용
예) 숙련레벨 경험치 획득량이 많은 순서 : 고통의 지하실 (챌린지 난이도) > 고통의 지하실 (익스퍼트 난이도) > 일반 던전
다음과 같이 적혀 있습니다.
그렇다면 실제로 경험치가 얼마나 오르는지 확인해 봤습니다.
실험지역 1. 고통의 지하실 익스퍼트/챌린지

실험 전 경험치 738,003,091

익스퍼트 난이도 클리어 후 경험치 738,154,823 (+151,732)

챌린지 난이도 클리어 후 경험치 738,363,403 (+208,580)
여기서는 챌린지가 약 37%의 경험치를 더 주는 것을 확인했습니다. 그러나...
실험지역 2. 겐트 황궁 익스퍼트/챌린지(풀방) : 겐트 황궁은 던전의 구조가 4가지 경우의 수가 있고 각각 경험치가 다릅니다.

익스퍼트 난이도 클리어 후 경험치 755,203,141 (+16,839,738)

챌린지 난이도 클리어 후 경험치 755,790,386 (+587,245)
여기서는 챌린지가 약 3.49%의 경험치밖에 안 줍니다.
이 외에 신규 추가된 던전 중 폭풍의 항로, 검은 신전은 아무리 돌아도 경험치가 세 자리를 넘는 것조차 본 적이 없었습니다.
따라서 경험치를 가장 많이 획득할 수 있는 방법은 겐트 황궁을 익스퍼트 난이도로 풀방을 도는 것입니다.
참고로 벚나무를 심어두었기 때문에 경험치를 더 받았으므로 실제 획득 경험치는 더 적습니다.
벚나무 이벤트로 클리어 경험치가 +200%가 되었으므로
클리어경험치의 2배인 6,825,892를 빼보면 실제 획득 경험치는 10,013,846일 것입니다.
2. 등급별로 요구되는 경험치량은 어떤가?
계산을 위해 다른 캐릭터의 경험치도 측정해봅시다.

전설 2 : 1,593,190,793

전설 3 : 1,656,918,425 (1.04배)

전설 4 : 1,723,195,162 (1.04배)

전설 5 : 1,792,122,969 (1.04배)
모든 구간별로 1.04배씩 오르는지 확인하기 위해 약간 떨어진 등급을 확인해봅시다.

고수 42 : 1,361,866,167
고수는 44레벨까지 있으므로, 전설 2와의 차이는 [고수42, 고수43, 고수44, 전설1, 전설2] 로 총 4단계 차이가 납니다.
1,361,866,167 * 1.04 ^ 4 를 계산해보면, 약 1,593,190,793이 나오고 이는 실제 전설 2 등급 경험치와 일치합니다.
이로써 숙련도 경험치는 공비가 1.04인 등비수열임을 알아냈습니다.
최초의 레벨이 도전자 1이고, 이것을 1단계라고 하면
전설 2는 도전자 49 + 숙련자 49 + 선구자 49 + 고수 44 + 전설 1을 지나야 하므로 193단계라고 할 수 있습니다.
도전자 1의 경험치를 A라고 하면 A * 1.04 ^ 192 = 1863.81 * A = 1,593,190,793 이므로 최초의 경험치는 854803 정도가 나옵니다.
따라서 n단계 레벨에서의 요구경험치는 854803 * 1.04 ^ (n-1) 이라고 할 수 있습니다.
n = 189(고수 42)를 대입한 결과값은 1,361,864,270으로 오차는 -1896으로 거의 일치합니다.
각 등급을 단계로 환산하면 다음과 같습니다. (도전자 49, 숙련자 49, 선구자 49, 고수 44, 전설 39, 영웅 39, 인도자 40, 구원자)
숙련자 1 = 50
선구자 1 = 99
고수 1 = 148
전설 1 = 192
영웅 1 = 231
인도자 1 = 270
구원자 = 310
이제 누적 경험치를 계산해 봅시다.
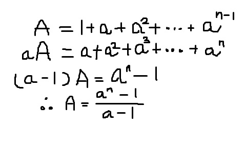
등비수열의 곱은 다음과 같은 방법으로 구할 수 있습니다(그림판 죄송합니다).

그러므로
1) 구원자가 되기 위해선 854803 * (1.04^310 - 1)/0.04 의 경험치가 필요하다고 가정할 수 있습니다
(위에서 오차가 관측된 만큼, 실제론 조금 더 많이 필요합니다).
계산 결과는 4,075,106,390,422 (4조 751억 639만 422) 가 나오는군요.
앞서 얻은 겐트황궁 익스퍼트 클리어 경험치를 1천만으로 잘라서 나누어보면 407510.63904222가 나옵니다.
즉, 이 던전을 40만 7510 번 클리어 해야합니다.
하루에 15판 돈다고 가정하면 407511 / 15 = 27167.4, 즉 27168일간 던전을 돌아야합니다. 연으로 환산하니 74년이 넘게 걸리네요
.
2) 영웅이 되기 위해선 854803 * (1.04^231 -1)/0.04 의 경험치가 필요합니다.
계산 결과는 183,847,168,565 (1838억 4716만 8565) 가 나옵니다.
같은 이유로 1천만으로 나누면 18,385 판이 나옵니다.
하루 15판 돌 경우 1226일이 걸리네요. 이것도 3년 4개월 조금 더 걸립니다.
분명히 눈에 띄게 줄었지만(구원자의 5%도 안됩니다) 여전히 너무 멀어보입니다.
번외) 패치 이후 영웅 1레벨 기준으로 전설 14레벨이 되었습니다.
전설 14레벨은 205단계이므로 지금까지 854803 * (1.04^205 -1)/0.04 = 66,298,032,088의 경험치를 얻었을 것입니다.
그렇다면 영웅 1이 될때까지 필요한 경험치는 117,549,136,477로, 이 경우 11755판. 784일로 2년 2개월 정도가 걸립니다.
36%밖에 달성하지 못했군요.
3. 보상은 적절한가?
1) 구원자가 될 경우 한 캐릭터로는 보상이 없습니다.
대신 같은 클래스(통상적으로 4직업이며, 귀검사(남), 마법사(남/여 공통)는 5직업, 외전은 2직업입니다)를 모두 구원자 등급을
달성할 시 모션 오라 아바타를 준다고 합니다.
http://df.nexon.com/df/pr/actupdate/MDAxMTk/?cat=32
모션은 이 곳에서 볼 수 있습니다(외전은 각자 아바타에 맞게 줄 것 같습니다).
그런데 이게 74년간 고생하면서 얻을 보상이라고 납득할 사람은 아무도 없을 것 같습니다.
결투장 고등급 달성 보상에 비해 모션이 밋밋하고 이펙트가 초라하기까지...
2) 영웅 등급이 필요한 아이템은 베테랑 군인의 정복 세트입니다.
착용자의 숙련도 등급이 영웅 이상일 때 추가 효과를 주도록 만들어져 있는데요.
현재 이 세트의 데미지 상승량이 매우 낮고(자세한 수치는 에픽계산기 및 티어표 등을 확인해주세요)
심지어 영웅 등급이어도 높지 않은 편입니다(어깨, 허리 2부위의 대미지 상승 효과는 높지만 그것뿐입니다).
4. 긴 글 보기 싫은 분들을 위한 세 줄 요약.
1) 가장 많은 숙련도 경험치를 얻을 수 있는 곳은 겐트황궁 익스퍼트 풀방이다.
2) 숙련도 등급이 오를 때마다 이전의 1.04배만큼을 요구한다.
3) 요구 경험치(등급)가 너무 높은데 보상은 너무 나쁘다.
계산에 미스가 있을 수 있습니다(소숫점 이하를 자르늗 등 약간의 조작이 있어서입니다).
다만 현재로서는 구원자는 커녕, 영웅도 거의 불가능한 목표로 보이는 것은 명확해 보입니다.
현실성 있고 달성에 대한 욕망을 가질 수 있는 도전과제를 제시해주세요.
10
최신 댓글 이동
댓글 새로고침